Тест ОГЭ по математике, составлен с учетом демоверсии ОГЭ от ФИПИ. Вариант 15 2026 года.
Посетите 3 настоящих урока с учителем
Выполните домашние задания
Пользуйтесь 7 дней материалами для самоподготовки
Пользуйтесь неделю материалами для самоподготовки
Прочитайте текст и выполните задания.
Автомобильное колесо представляет из себя металлический диск с установленной на него резиновой шиной. Диаметр диска совпадает с диаметром внутреннего отверстия в
шине.

Для маркировки автомобильных шин применяется единая система обозначений. Например, 195/65 R15 (рис. 1). Первое число означает ширину шины B в миллиметрах.
Следующее число означает высоту боковины шины H в процентах ширины. В приведённом примере ширина шины равна 195 мм, а высота боковины равна 65 % от 195, то есть
126,75 мм. Буква обозначает тип конструкции шины. Буква R означает, что шина радиальная, то есть нити каркаса в шине расположены вдоль радиусов колеса. На всех легковых автомобилях применяются шины радиальной конструкции.
За буквой указан диаметр диска d в дюймах. На рисунке шина рассчитана на диск диаметром 15 дюймов. В одном дюйме 25,4 мм. Таким образом, зная маркировку шины, можно найти общий диаметр колеса D. Завод производит легковые автомобили определённой модели и устанавливает на них колёса с шинами маркировки 265/60 R18.
ЗАДАНИЕ 1. Завод допускает установку шин с другими маркировками. В таблице показаны разрешённые размеры шин. Ширина шины (мм) Диаметр диска (дюймы)

Шины какой наименьшей ширины можно устанавливать на автомобиль, если диаметр диска равен 17 дюймам? Ответ дайте в миллиметрах.
275
ЗАДАНИЕ 2. Найдите диаметр колеса автомобиля, выходящего с завода. Ответ дайте в миллиметрах.
775,2
ЗАДАНИЕ 3. На сколько миллиметров радиус колеса с шиной маркировки 245/70 R17 меньше, чем радиус колеса с шиной маркировки 275/65 R17?
7,25
ЗАДАНИЕ 4. На сколько миллиметров увеличится диаметр колеса, если заменить колёса,↓установленные на заводе, колёсами с шинами маркировки 285/50 R20?
17,8
ЗАДАНИЕ 5. На сколько процентов увеличится пробег автомобиля при одном обороте колеса, если заменить колёса, установленные на заводе, колёсами с шинами маркировки 285/50 R20?
Результат округлите до десятых.
2,3
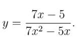
ЗАДАНИЕ 6. Найдите значение выражения

9
ЗАДАНИЕ 7. Какое из данных чисел √5,√6,√23,√
31 принадлежит отрезку [5; 6]?
1) √5; 2) √6; 3) √23; 4) √31.
4
ЗАДАНИЕ 8. Найдите значение выражения

90
ЗАДАНИЕ 9. Найдите корень уравнения −5 + 2x = −2x − 3.
0,5
ЗАДАНИЕ 10. Вероятность того, что новая шариковая ручка пишет плохо (или не пишет), равна 0,2. Покупатель в магазине выбирает одну шариковую ручку. Найдите вероятность того, что эта
ручка пишет хорошо.
0,8
ЗАДАНИЕ 11. На рисунках изображены графики функций вида y = ax2 + bx + c. Установите соответствие между знаками коэффициентов a и c и графиками функций.
КОЭФФИЦИЕНТЫ
А) a > 0, c < 0;
Б) a < 0, c > 0;
В) a > 0, c > 0.
ГРАФИКИ

В таблице под каждой буквой укажите соответствующий номер.

В ответе укажите последовательность трёх цифр.
123
ЗАДАНИЕ 12. Мощность постоянного тока (в ваттах) вычисляется по формуле P = I 2R, где I — сила тока (в амперах), R — сопротивление (в омах). Пользуясь этой формулой, найдите сопротивление R, если мощность составляет 180 Вт, а сила тока равна 6 А. Ответ дайте в омах.
5
ЗАДАНИЕ 13. Укажите решение неравенства
![]()
1) (−∞; +∞);
2) нет решений;
3) (−5; 5);
4) (−∞; −5) ∪ (5; +∞).
3
ЗАДАНИЕ 14. Каучуковый мячик с силой бросили на асфальт. Отскочив, мячик подпрыгнул на 6,3 м, а при каждом следующем прыжке он поднимался на высоту в три раза меньше предыдущей. При каком по счёту прыжке мячик в первый раз не достигнет высоты 25 см?
4
ЗАДАНИЕ 15. Один из острых углов прямоугольного треугольника равен 21∘. Найдите его другой острый угол. Ответ дайте в градусах.

69
ЗАДАНИЕ 16. Сторона квадрата равна 32√

2. Найдите радиус окружности, описанной около этого квадрата.
32
ЗАДАНИЕ 17. В равнобедренной трапеции известна высота, большее основание и угол при основании (см. рисунок). Найдите меньшее основание. 5

5
ЗАДАНИЕ 18. На клетчатой бумаге с размером клетки 1 × 1 изображён ромб. Найдите площадь этого ромба.

24
ЗАДАНИЕ 19. Какое из следующих утверждений является истинным высказыванием?
1) Все равнобедренные треугольники подобны.
2) Существует прямоугольник, диагонали которого взаимно перпендикулярны.
3) Сумма углов прямоугольного треугольника равна 90 градусам.
В ответ запишите номер истинного высказывания.
2
При выполнении заданий 20–25 используйте БЛАНК ОТВЕТОВ No 2. Сначала укажите номер задания, а затем запишите его решение и ответ. Пишите чётко и разборчиво.
ЗАДАНИЕ 20. Решите неравенство
![]()
ЗАДАНИЕ 21. Баржа прошла по течению реки 32 км и, повернув обратно, прошла ещё 24 км, затратив на весь путь 4 часа. Найдите собственную скорость баржи, если скорость течения реки
равна 5 км/ч.
ЗАДАНИЕ 22. Постройте график функции

Определите, при каких значениях k прямая y = kx имеет с графиком ровно одну общую точку.
ЗАДАНИЕ 23. Окружность пересекает стороны AB и AC треугольника ABC в точках K и P соответственно и проходит через вершины B и C. Найдите длину отрезка KP, если AP = 34, а сторона BC в 2 раза меньше стороны AB.
ЗАДАНИЕ 24. На средней линии трапеции ABCD с основаниями AD и BC выбрали произвольную точку F. Докажите, что сумма площадей треугольников BF C и AF D равна половине площади
трапеции.
ЗАДАНИЕ 25. Четырёхугольник ABCD со сторонами AB = 34 и CD = 22 вписан в окружность. Диагонали AC и BD пересекаются в точке K, причём угол AKB = 60∘.
Найдите радиус окружности, описанной около этого четырёхугольника.
Оставьте заявку на обучение
Заполните, пожалуйста, контактные данные и получите подробную консультацию, бесплатный пробный день и неделю доступа к образовательной платформе
Тест ОГЭ по математике, составлен с учетом демоверсии ОГЭ от ФИПИ. Вариант 15 2026 года.
Тест ОГЭ по математике, составлен с учетом демоверсии ОГЭ от ФИПИ. Вариант 14 2026 года.
Тест ОГЭ по математике, составлен с учетом демоверсии ОГЭ от ФИПИ. Вариант 13 2026 года.
Тест ОГЭ по математике, составлен с учетом демоверсии ОГЭ от ФИПИ. Вариант 12 2026 года.
Записаться на любой курс вы можете через Личный Кабинет Родителя
Если возникли сложности, обратитесь к куратору класса!
Заполните форму заявки, и мы свяжемся с вами
Запись на курс временно приостановлена. Можете оставить свои контактные данные в форме ниже и мы сообщим вам, когда начнется набор на курс.




За 1 месяц
За 3 месяца
За год
*только для новых учеников!