Тест ОГЭ по математике, составлен с учетом демоверсии ОГЭ от ФИПИ. Вариант 15 2026 года.
Посетите 3 настоящих урока с учителем
Выполните домашние задания
Пользуйтесь 7 дней материалами для самоподготовки
Пользуйтесь неделю материалами для самоподготовки
Прочитайте внимательно текст и выполните задания.
На рисунке точками показано количество минут исходящих вызовов и трафик мобильного интернета в гигабайтах, израсходованных абонентом в процессе пользования смартфоном, за каждый месяц 2019 года. Для удобства точки, соответствующие минутам и гигабайтам, соединены сплошными и пунктирными линиями соответственно.

В течение года абонент пользовался тарифом «Стандартный», абонентская плата по которому составляла 350 рублей в месяц. При условии нахождения абонента на территории РФ в абонентскую плату тарифа «Стандартный» входит:
Стоимость минут, интернета и SMS сверх пакета тарифа указана в таблице.

Абонент не пользовался услугами связи в роуминге. За весь год абонент отправил 110 SMS.
ЗАДАНИЕ 1. Определите, какие месяцы соответствуют указанному в таблице трафику мобильного интернета. Заполните таблицу, в бланк ответов перенесите числа, соответствующие номерам месяцев, без пробелов, запятых и других дополнительных символов (например, для месяцев май, январь, ноябрь, август в ответе нужно записать число 51118).

8347
ЗАДАНИЕ 2.
Сколько рублей потратил абонент на услуги связи в июне?
410
ЗАДАНИЕ 3.
Сколько месяцев в 2019 году абонент не превышал лимит ни по пакету минут, ни по пакету мобильного интернета?
5
ЗАДАНИЕ 4.
Известно, что в 2018 году абонентская плата по тарифу «Стандартный» составляла 200 рублей. На сколько процентов выросла абонентская плата в 2019 году по сравнению с 2018 годом?
75
ЗАДАНИЕ 5.
В конце 2019 года оператор связи предложил абоненту перейти на новый тариф, условия которого приведены в таблице.

*Исходящие вызовы на номера, зарегистрированные на территории РФ.
Абонент решает, перейти ли ему на новый тариф, посчитав, сколько бы он потратил на услуги связи за 2019 год, если бы пользовался им. Если получится меньше, чем он потратил фактически за 2019 год, то абонент примет решение сменить тариф. Перейдёт ли абонент на новый тариф? В ответе запишите ежемесячную абонентскую плату по тарифу, который выберет абонент на 2020 год.
350
ЗАДАНИЕ 6.
Найдите значение выражения 4,4 − 1,7
2,7
ЗАДАНИЕ 7.
Какому из данных промежутков принадлежит число ![]()
1) [0,5; 0,6];
2) [0,6; 0,7];
3) [0,7; 0,8];
4) [0,8; 0,9].
3
ЗАДАНИЕ 8.
Найдите значение выражения (︀√ 41 − 3 )︀ (︀√ 41 + 3)︀ .
32
ЗАДАНИЕ 9.
Найдите корень уравнения −2𝑥 − 4 = 3𝑥.
−0,8
ЗАДАНИЕ 10.
На экзамене 40 билетов, Яша не выучил 4 из них. Найдите вероятность того, что ему попадётся выученный билет.
0,9
ЗАДАНИЕ 11.
Установите соответствие между графиками функций и формулами, которые их задают.
ГРАФИКИ

ФОРМУЛЫ
1) 𝑦 = 𝑥 + 3; 2) 𝑦 = 3; 3) 𝑦 = 3𝑥.
В таблице под каждой буквой укажите соответствующий номер.

В ответе укажите последовательность трёх цифр.
123
ЗАДАНИЕ 12.
Кинетическая энергия тела массой 𝑚 кг, двигающегося со скоростью 𝑣 м с , вычисляется по формуле 𝐸 =𝑚𝑣2 и измеряется в джоулях (Дж). Известно, что автомобиль массой 1500 кг обладает кинетической энергией 48 тысяч джоулей.
Найдите скорость этого автомобиля в метрах в секунду.
8
ЗАДАНИЕ 13.
Укажите решение неравенства 5𝑥 − 𝑥 2 > 0.
1) (−∞; 0) ∪ (5; +∞);
2) (0; 5);
3) (5; +∞);
4) (0; +∞).
2
ЗАДАНИЕ 14.
В ходе распада радиоактивного изотопа его масса уменьшается вдвое каждые 8 минут. В начальный момент масса изотопа составляла 320 мг. Найдите массу изотопа через 40 минут.
Ответ дайте в миллиграммах.
10
ЗАДАНИЕ 15
В треугольнике 𝐴𝐵𝐶 известно, что ∠𝐵𝐴𝐶 = 46∘ , 𝐴𝐷 — биссектриса. Найдите угол 𝐵𝐴𝐷. Ответ дайте в градусах.

23
ЗАДАНИЕ 16.
Радиус окружности, описанной около равностороннего треугольника, равен 10√ 3. Найдите длину стороны этого треугольника.

30
ЗАДАНИЕ 17.
Основания трапеции равны 1 и 17. Найдите больший из отрезков, на которые делит среднюю линию этой трапеции одна из её диагоналей.

8,5
ЗАДАНИЕ 18.
На клетчатой бумаге с размером клетки 1 × 1 изображён изображён треугольник. Найдите его площадь.

2
ЗАДАНИЕ 19.
Какое из следующих утверждений является истинным высказыванием?
1) Боковые стороны любой трапеции равны.
2) Через любую точку, лежащую вне окружности, можно провести две касательные к этой окружности.
3) Площадь квадрата равна произведению его диагоналей.
В ответ запишите номер истинного высказывания.
2
ЗАДАНИЕ 20.
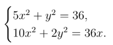
Решите систему уравнений

ЗАДАНИЕ 21.
Свежие фрукты содержат 84 % воды, а высушенные — 28 %. Сколько требуется свежих фруктов для приготовления 52 кг высушенных фруктов?
ЗАДАНИЕ 22.
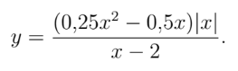
Постройте график функции

Определите, при каких значениях 𝑚 прямая 𝑦 = 𝑚 не имеет с графиком ни одной общей точки.
ЗАДАНИЕ 23.
Отрезки 𝐴𝐵 и 𝐶𝐷 являются хордами окружности. Найдите расстояние от центра окружности до хорды 𝐶𝐷, если 𝐴𝐵 = 30, 𝐶𝐷 = 40, а расстояние от центра окружности до хорды 𝐴𝐵 равно 20.
ЗАДАНИЕ 24.
Биссектрисы углов 𝐵 и 𝐶 трапеции 𝐴𝐵𝐶𝐷 пересекаются в точке 𝑂, лежащей на стороне 𝐴𝐷. Докажите, что точка 𝑂 равноудалена от прямых 𝐴𝐵, 𝐵𝐶 и 𝐶𝐷.
ЗАДАНИЕ 25.
В равнобедренную трапецию, периметр которой равен 100, а площадь равна 500, можно вписать окружность. Найдите расстояние от точки пересечения диагоналей трапеции до её меньшего основания.
Оставьте заявку на обучение
Заполните, пожалуйста, контактные данные и получите подробную консультацию, бесплатный пробный день и неделю доступа к образовательной платформе
Тест ОГЭ по математике, составлен с учетом демоверсии ОГЭ от ФИПИ. Вариант 15 2026 года.
Тест ОГЭ по математике, составлен с учетом демоверсии ОГЭ от ФИПИ. Вариант 14 2026 года.
Тест ОГЭ по математике, составлен с учетом демоверсии ОГЭ от ФИПИ. Вариант 13 2026 года.
Тест ОГЭ по математике, составлен с учетом демоверсии ОГЭ от ФИПИ. Вариант 11 2026 года.
Записаться на любой курс вы можете через Личный Кабинет Родителя
Если возникли сложности, обратитесь к куратору класса!
Заполните форму заявки, и мы свяжемся с вами
Запись на курс временно приостановлена. Можете оставить свои контактные данные в форме ниже и мы сообщим вам, когда начнется набор на курс.




За 1 месяц
За 3 месяца
За год
*только для новых учеников!