Тест ОГЭ по математике, составлен с учетом демоверсии ОГЭ от ФИПИ. Вариант 15 2026 года.
Посетите 3 настоящих урока с учителем
Выполните домашние задания
Пользуйтесь 7 дней материалами для самоподготовки
Пользуйтесь неделю материалами для самоподготовки
Прочитайте внимательно текст и выполните задания.
На плане изображён дачный участок по адресу: п. Сосновка, ул. Зелёная, д. 19 (сторона каждой клетки на плане равна 2 м). Участок имеет прямоугольную форму. Выезд и въезд
осуществляются через единственные ворота. При входе на участок слева от ворот находится гараж. Справа от ворот находится сарай площадью 24 кв. м, а чуть подальше — жилой
дом. Напротив жилого дома расположены яблоневые посадки. Также на участке есть баня, к которой ведёт дорожка, выложенная плиткой, и огород с теплицей внутри (огород
отмечен на плане цифрой 6).
Все дорожки внутри участка имеют ширину 1 м и вымощены тротуарной плиткой размером 1 м × 1 м. Между гаражом и сараем находится площадка, вымощенная такой же плиткой.
К участку подведено электричество. Имеется магистральное газоснабжение.

ЗАДАНИЕ 1. Для объектов, указанных в таблице, определите, какими цифрами они обозначены на плане. Заполните таблицу, в бланк ответов перенесите последовательность
четырёх цифр без пробелов, запятых и других символов.

3624
ЗАДАНИЕ 2. Плитки для садовых дорожек продаются в упаковках по 8 штук. Сколько упаковок плиток понадобилось, чтобы выложить все дорожки и площадку между сараем и
гаражом?
8
ЗАДАНИЕ 3. Найдите расстояние от жилого дома до гаража (расстояние между двумя ближайшими точками по прямой) в метрах.
10
ЗАДАНИЕ 4. Сколько процентов от площади всего участка занимают строения (жилой дом, гараж, сарай, баня)? Ответ округлите до целого.
15
ЗАДАНИЕ 5. Хозяин участка планирует установить в жилом доме систему отопления. Он рассматривает два варианта: электрическое или газовое отопление. Цены на оборудование и стоимость его установки, данные о расходе газа, электроэнергии и их стоимости даны в таблице.

Обдумав оба варианта, хозяин решил установить газовое отопление. Через сколько часов непрерывной работы отопления экономия от использования газа вместо электричества компенсирует разницу в стоимости покупки и установки газового и электрического оборудования?
500
ЗАДАНИЕ 6. Найдите значение выражения

21532
ЗАДАНИЕ 7. На координатной прямой точки A, B, C и D соответствуют числам 0,508; 0,85; −0,05 и 0,058.

Какой точке соответствует число 0,058?
1) A; 2) B; 3) C; 4) D.
4
ЗАДАНИЕ 8. Найдите значение выражения

2 при a = 3 и b = 4.
5
ЗАДАНИЕ 9. Решите уравнение 4x
2 = 20x. Если уравнение имеет более одного корня, в ответ запишите меньший из корней.
0
ЗАДАНИЕ 10. В лыжных гонках участвуют 7 спортсменов из России, 1 спортсмен из Норвегии и 2 спортсмена из Швеции. Порядок, в котором спортсмены стартуют, определяется
жребием. Найдите вероятность того, что первым будет стартовать спортсмен из Норвегии.
110
ЗАДАНИЕ 11. Установите соответствие между графиками функций и формулами, которые их задают.
ГРАФИКИ

ФОРМУЛЫ
1) y = x + 3; 2) y = 3; 3) y = 3x.
В таблице под каждой буквой укажите соответствующий номер.

В ответе укажите последовательность трёх цифр.
132
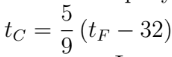
ЗАДАНИЕ 12. Перевести значение температуры по шкале Фаренгейта в шкалу Цельсия позволяет формула

(tF − 32), где tC — температура в градусах Цельсия, tF — температура в градусах Фаренгейта. Скольким градусам по шкале Цельсия соответствует −40 градусов по шкале Фаренгейта?
-40
ЗАДАНИЕ 13. Укажите решение неравенства (x + 3)(x − 7) ⩽ 0.

2
ЗАДАНИЕ 14. В амфитеатре 16 рядов, причём в каждом следующем ряду на одно и то же число мест больше, чем в предыдущем. В четвёртом ряду 23 места, а в восьмом ряду 35 мест.
Сколько мест в последнем ряду амфитеатра?
47
ЗАДАНИЕ 15. Катеты прямоугольного треугольника равны 60 и 80. Найдите гипотенузу этого треугольника.

100
ЗАДАНИЕ 16. В окружности с центром в точке O отрезки AC и BD — диаметры. Угол AOD равен 114∘. Найдите угол ACB. Ответ дайте в градусах.

33
ЗАДАНИЕ 17. Основания трапеции равны 7 и 19, а высота равна 6. Найдите площадь этой трапеции.

78
ЗАДАНИЕ 18. На клетчатой бумаге с размером клетки 1×1 изображён ромб. Найдите длину его большей диагонали.

8
ЗАДАНИЕ 19. Какое из следующих утверждений является истинным высказыванием?
В ответ запишите номер истинного высказывания.
1
При выполнении заданий 20–25 используйте БЛАНК ОТВЕТОВ No 2. Сначала укажите номер задания, а затем запишите его решение и ответ. Пишите чётко и разборчиво.
ЗАДАНИЕ 20. Решите уравнение
![]()
x=−2;x=1
ЗАДАНИЕ 21. Первую половину пути автомобиль проехал со скоростью 84 км/ч, а вторую — со скоростью 108 км/ч. Найдите среднюю скорость автомобиля на протяжении всего
пути.
96
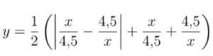
ЗАДАНИЕ 22. Постройте график функции

Определите, при каких значениях m прямая y = m имеет с графиком ровно одну общую точку.
m=0
ЗАДАНИЕ 23. Отрезки AB и DC лежат на параллельных прямых, а отрезки AC и BD пересекаются в точке M. Найдите MC, если AB = 12, DC = 48, AC = 35.
20
ЗАДАНИЕ 24. Окружности с центрами в точках M и N пересекаются в точках S и T, причём точки M и N лежат по одну сторону от прямой ST. Докажите, что прямые MN и ST
перпендикулярны.
Окружности пересекаются в S и T, центры M и N по одну сторону от ST. ST — общая хорда двух окружностей, перпендикулярна линии центров MN (теорема о перпендикуляре к хорде через центр). Следовательно, MN ⊥ ST.
ЗАДАНИЕ 25. Биссектрисы углов A и B параллелограмма ABCD пересекаются в точке K. Найдите площадь параллелограмма, если BC = 18, а расстояние от точки K до стороны AB
равно 1.
72
Оставьте заявку на обучение
Заполните, пожалуйста, контактные данные и получите подробную консультацию, бесплатный пробный день и неделю доступа к образовательной платформе
Тест ОГЭ по математике, составлен с учетом демоверсии ОГЭ от ФИПИ. Вариант 15 2026 года.
Тест ОГЭ по математике, составлен с учетом демоверсии ОГЭ от ФИПИ. Вариант 13 2026 года.
Тест ОГЭ по математике, составлен с учетом демоверсии ОГЭ от ФИПИ. Вариант 12 2026 года.
Тест ОГЭ по математике, составлен с учетом демоверсии ОГЭ от ФИПИ. Вариант 11 2026 года.
Записаться на любой курс вы можете через Личный Кабинет Родителя
Если возникли сложности, обратитесь к куратору класса!
Заполните форму заявки, и мы свяжемся с вами
Запись на курс временно приостановлена. Можете оставить свои контактные данные в форме ниже и мы сообщим вам, когда начнется набор на курс.




За 1 месяц
За 3 месяца
За год
*только для новых учеников!