Тест ОГЭ по математике, составлен с учетом демоверсии ОГЭ от ФИПИ. Вариант 14 2026 года.
Посетите 3 настоящих урока с учителем
Выполните домашние задания
Пользуйтесь 7 дней материалами для самоподготовки
Пользуйтесь неделю материалами для самоподготовки
Прочитайте внимательно текст и выполните задания.
На рисунке изображён план сельской местности.
Таня на летних каникулах приезжает в гости к дедушке в деревню Антоновка (на плане обозначена цифрой 1). В конце каникул дедушка на машине собирается отвезти Таню на автобусную станцию, которая находится в деревне Богданово. Из Антоновки в Богданово можно проехать по просёлочной дороге мимо реки. Есть другой путь — по шоссе до деревни Ватюнино, где нужно повернуть под прямым углом налево на другое шоссе, ведущее в Богданово. Третий маршрут проходит по просёлочной дороге мимо пруда до деревни Горюново, где можно свернуть на шоссе до Богданово. Четвёртый маршрут пролегает по шоссе до деревни Доломино, от Доломино до Горюново по просёлочной дороге мимо конюшни и от Горюново до Богданово по шоссе. Ещё один маршрут проходит по шоссе до деревни Егорка, по просёлочной дороге мимо конюшни от Егорки до Жилино и по шоссе от Жилино до Богданово.
Шоссе и просёлочные дороги образуют прямоугольные треугольники.

По шоссе Таня с дедушкой едут со скоростью 50 км/ч, а по просёлочным дорогам — со скоростью 30 км/ч.
Расстояние от Антоновки до Доломино равно 12 км, от Доломино до Егорки — 4 км, от Егорки до Ватюнино — 12 км, от Горюново до Ватюнино — 15 км, от Ватюнино до Жилино — 9 км, а от Жилино до Богданово — 12 км.
ЗАДАНИЕ 1. Пользуясь описанием, определите, какими цифрами на плане обозначены деревни. Заполните таблицу, в бланк ответов перенесите последовательность четырёх
цифр без пробелов, запятых и других дополнительных символов.

143
ЗАДАНИЕ 2. Найдите расстояние от Ватюнино до Богданово по шоссе. Ответ дайте в километрах.
7
ЗАДАНИЕ 3. Найдите расстояние от Антоновки до Богданово по прямой. Ответ дайте в километрах.
5
ЗАДАНИЕ 4. Сколько минут затратят на дорогу Таня с дедушкой из Антоновки в Богданово, если поедут напрямик?
16
ЗАДАНИЕ 5. На шоссе машина дедушки расходует 5,5 литра бензина на 100 км. Известно, что на путь из Антоновки до Богданово через Ватюнино и путь через Егорку и Жилино мимо конюшни ей необходим один и тот же объём бензина. Сколько литров бензина на 100 км машина дедушки расходует на просёлочных дорогах?
930
ЗАДАНИЕ 6. Найдите значение выражения 2,3 · 7,5
05
ЗАДАНИЕ 7. На координатной прямой отмечены точки A, B, C и D.

1) A; 2) B; 3) C; 4) D.
3
ЗАДАНИЕ 8. Найдите значение выражения

при x = 2 и y = 5.
18125
ЗАДАНИЕ 9. Решите уравнение
![]()
Если уравнение имеет более одного корня, в ответ запишите меньший из корней.
64
ЗАДАНИЕ 10. В среднем из 50 карманных фонариков, поступивших в продажу, шесть неисправных. Найдите вероятность того, что выбранный наудачу в магазине фонарик окажется исправен.
98
ЗАДАНИЕ 11. На рисунках изображены графики функций вида y = ax2 + bx + c. Установите соответствие между графиками функций и знаками коэффициентов a и c.
ГРАФИКИ

КОЭФФИЦИЕНТЫ
1) a < 0, c > 0; 2) a > 0, c > 0; 3) a > 0, c < 0.
В таблице под каждой буквой укажите соответствующий номер.

В ответе укажите последовательность трёх цифр.
132
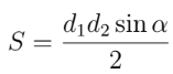
ЗАДАНИЕ 12. Площадь четырёхугольника можно вычислить по формуле

где d1 и d2 — длины диагоналей четырёхугольника, α — угол между диагоналями. Пользуясь этой формулой, найдите длину диагонали d2, если d1 = 10, sin α =111, a S = 5.
0072
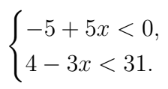
ЗАДАНИЕ 13. Укажите решение системы неравенств

1) (−9; 1);
2) нет решений;
3) (−9; +∞);
4) (−∞; 1).
2
ЗАДАНИЕ 14. В амфитеатре 13 рядов. В первом ряду 17 мест, а в каждом следующем на 2 места больше, чем в предыдущем. Сколько всего мест в амфитеатре?
432
ЗАДАНИЕ 15. В треугольнике ABC известно, что AB = 14, BC = 5,

Найдите площадь треугольника ABC.

21
ЗАДАНИЕ 16. Сторона равностороннего треугольника равна 14√3.

Найдите радиус окружности, вписанной в этот треугольник.
8
ЗАДАНИЕ 17. Найдите острый угол параллелограмма ABCD, если биссектриса угла A образует со стороной BC угол, равный 41∘. Ответ дайте в градусах.

40
ЗАДАНИЕ 18. На клетчатой бумаге с размером клетки 1 × 1 изображены две точки. Найдите расстояние между ними.

4
ЗАДАНИЕ 19. Какое из следующих утверждений является истинным высказыванием?
1) Косинус острого угла прямоугольного треугольника равен отношению гипотенузы к прилежащему к этому углу катету.
2) Основания любой трапеции параллельны.
3) Всегда один из двух смежных углов острый, а другой тупой.
В ответ запишите номер истинного высказывания.
3
При выполнении заданий 20–25 используйте БЛАНК ОТВЕТОВ No 2. Сначала укажите номер задания, а затем запишите его решение и ответ. Пишите чётко и разборчиво.
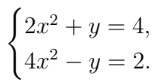
ЗАДАНИЕ 20. Решите систему уравнений

x=1;x=−1
ЗАДАНИЕ 21. Поезд, двигаясь равномерно со скоростью 57 км/ч, проезжает мимо пешехода, идущего по платформе параллельно путям со скоростью 3 км/ч навстречу поезду, за 33
секунды. Найдите длину поезда в метрах.
12
ЗАДАНИЕ 22. Постройте график функции.

Определите, при каких значениях m прямая y = m не имеет с графиком общих точек.
m=1;m=3
ЗАДАНИЕ 23. Катеты прямоугольного треугольника равны 21 и 28. Найдите высоту, проведённую к гипотенузе.
60∘;120∘
ЗАДАНИЕ 24. В трапеции ABCD с основаниями AD и BC диагонали пересекаются в точке P. Докажите, что площади треугольников AP B и CP D равны.
Биссектрисы ∠C и ∠D пересекаются в P на AB. P лежит на биссектрисах, значит расстояния от P до BC, CD, AD равны (свойство биссектрисы — равное расстояние до сторон угла).
ЗАДАНИЕ 25. Окружности радиусов 33 и 99 касаются внешним образом. Точки A и B лежат на первой окружности, точки C и D — на второй. При этом AC и BD — общие касательные
окружностей. Найдите расстояние между прямыми AB и CD.
6
Оставьте заявку на обучение
Заполните, пожалуйста, контактные данные и получите подробную консультацию, бесплатный пробный день и неделю доступа к образовательной платформе
Тест ОГЭ по математике, составлен с учетом демоверсии ОГЭ от ФИПИ. Вариант 14 2026 года.
Тест ОГЭ по математике, составлен с учетом демоверсии ОГЭ от ФИПИ. Вариант 13 2026 года.
Тест ОГЭ по математике, составлен с учетом демоверсии ОГЭ от ФИПИ. Вариант 12 2026 года.
Тест ОГЭ по математике, составлен с учетом демоверсии ОГЭ от ФИПИ. Вариант 11 2026 года.
Записаться на любой курс вы можете через Личный Кабинет Родителя
Если возникли сложности, обратитесь к куратору класса!
Заполните форму заявки, и мы свяжемся с вами
Запись на курс временно приостановлена. Можете оставить свои контактные данные в форме ниже и мы сообщим вам, когда начнется набор на курс.




За 1 месяц
За 3 месяца
За год
*только для новых учеников!